¿Quieres resolver ecuaciones de tercer grado online? A continuación encontrarás una calculadora para resolverlas de forma inmediata. Sólo tienes que escribir el valor de los coeficientes de la ecuación, pulsar el botón de calcular y listo.
Si te quedan dudas, en este artículo te enseñaremos cómo resolver ecuaciones de grado tres, ejercicios y muchos recursos interesantes.
Contenido de este artículo
¿Cómo se resuelve una ecuación de tercer grado?
Para aprender a resolver ecuaciones de tercer grado es importante que conozcamos que son de esta forma:
Ax3 + Bx2 + Cx + D = 0
Ese es el aspecto que tiene una ecuación cúbica completa y es la que aprenderemos a resolver a continuación utilizando varios métodos. Es importante que sepas que este tipo de ecuaciones tienen siempre tres soluciones o raíces. Además, dependiendo del valor del término independiente D, las soluciones pueden ser de la siguiente manera:
- D > 0: Una de las soluciones es real y las otras dos son complejas.
- D = 0: Todas las soluciones son reales y al menos dos son iguales.
- D < 0: todas las soluciones son reales y completamente diferentes.
Ahora que ya conocemos lo más importante de las ecuaciones de grado 3, vamos a ver cómo se resuelven. Si quieres aprender a resolver ecuaciones de tercer grado incompletas, sigue leyendo para saber cómo se hace.
Por Ruffini
Usar la regla de Ruffini es uno de los métodos más recomendables para solucionar ecuaciones de tercer grado paso a paso.
El proceso es mucho más sencillo de entender si te lo mostramos en vídeo que si lo escribimos así que te dejamos con uno de los mejores que hemos encontrado por YouTube. No te preocupes si en lugar de Ruffini escuchas al profesor hablar de división sintética, es lo mismo.
Sin Ruffini
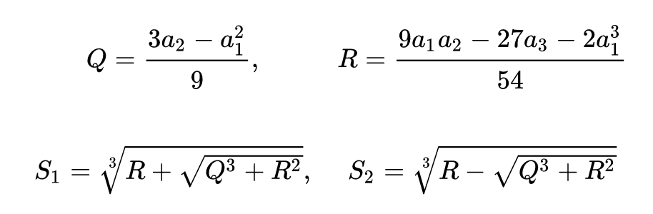
En el caso de que Ruffini no te convenza para calcular ecuaciones cúbicas, puedes usar este otro método basado en el cálculo de varias fórmulas y valores para esta ecuación de grado tres:
x3 + a1x2 + a2x + a3 = 0
El primer paso consiste en hallar los siguientes valores:
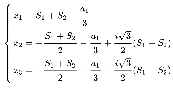
Con los valores de Q, R, S1 y S2 ya calculados, ahora sustituimos en las siguientes ecuaciones generales para encontrar las tres soluciones de la ecuación de tercer grado:
Fórmula general
Si ninguno de los métodos anteriores te convence, a continuación te dejo con tres fórmulas para cada una de las soluciones de la ecuación, pero ya aviso que son bastante tediosas de resolver.
Fórmula para la primera solución X1:
Fórmula para la segunda solución X2:
Fórmula para la tercera solución X3:
Esperamos que al menos uno de los tres métodos que te hemos propuesto para resolver ecuaciones de tercer grado te sirva. Además, siempre puedes comprobar si el resultado que has obtenido es correcto usando nuestra calculadora.
Ecuaciones de tercer grado incompletas
En ocasiones nos mandarán resolver ecuaciones de tercer grado incompletas o sin término independiente cuyo aspecto es este:
Ax3 + Bx2 + Cx = 0
En estos casos, una de las soluciones siempre será X = 0. Las otras dos las calcularemos sacando factor común de esta forma:
x(AX2 + Bx + C) = 0
Si nos fijamos, las otras dos soluciones de la ecuación de tercer grado incompleta que nos faltan se encuentran en la ecuación de segundo grado que hay entre los paréntesis y que tenemos que resolver. Si no sabes cómo se hace, puedes usar nuestra calculadora de ecuaciones de segundo grado.
Ecuaciones de tercer grado resueltas
¿Buscas ejercicios resueltos de ecuaciones de tercer grado? A continuación tienes algunos ejemplos con las soluciones para que pruebes tú mismo a resolverlas:
Primer ejercicio: x3 - 6x2 + 3x + 10 = 0
Soluciones:
- x1 = 5
- x2 = 2
- x3 = -1
Segundo ejercicio: 2x3 - 5x2 + 3x = 0
Soluciones:
- x1 = 0
- x2 =1
- x3 = 3/2
Cómo resolver ecuaciones de tercer grado en la calculadora
Si tienes una calculadora científica relativamente moderna, puedes resolver ecuaciones de tercer grado con ella. Para ver cómo se hace nosotros usaremos una de la marca Casio ya que son las más populares entre estudiantes de colegio, instituto o universidad.
Para calcular todas las soluciones de una ecuación cúbica con la calculadora tienes que buscar el botón "MODE SETUP" o "MENU CONFIG" que suele encontrarse en la esquina superior derecha. Púlsalo y entre todas las opciones que te salen en pantalla, selecciona aquella que está representada como "EQN".
Si todo ha ido bien, en la pantalla te aparecerán ecuaciones de distinto grado. Nosotros nos quedaremos con la de grado 3 que tiene este aspecto:
aX3 + bX2 + cX + d = 0
La seleccionamos y el siguiente paso consistirá en escribir los valores de los coeficientes a, b, c y d. Cuando los hayas escrito, pulsa la tecla igual (=) para que aparezcan las soluciones.
Es probable que tengas que usar el pad de cuatro direcciones (en la foto que hemos puesto encima de estas líneas lo puedes ver) para que vayan apareciendo todas las soluciones de la ecuación que has escrito.
Cómo funciona la calculadora online de ecuaciones de tercer grado
Por si no te ha quedado claro cómo funciona nuestra calculadora de ecuaciones de tercer grado online, te lo vamos a explicar con más detenimiento.
Como ya hemos visto, la ecuación cúbica debe tener el siguiente formato:
Ax3 + Bx2 + Cx + D = 0
Simplemente tienes que escribir en la herramienta los valores de A, B, C y D. Si alguno de esos valores es 0, debes escribirlo. Por ejemplo, si la ecuación de tercer grado que quieres resolver online es 2X3 - 4X2 - 22X + 24 = 0, entonces los valores que debes escribir en la calculadora es lo siguiente:
- A = 2
- B = -4
- C = -22
- D = 24
A continuación sólo tienes que presionar el botón de calcular y obtendrás el resultado de forma inmediata.
Si te ha quedado alguna duda de cómo se resuelve una ecuación de tercer grado, déjanos un comentario y te ayudaremos lo antes posible.
Ingeniero de Telecomunicaciones dedicado al mundo de Internet. En esta web te ayudo a hacer cálculos y conversiones sencillas que con el paso de los años se nos ha olvidado cómo se hace. Si tienes dudas, déjame un comentario y te ayudaré. Si quieres mejorar tu proyecto online o necesitas asesoramiento, escríbeme un mensaje.







Buenas tardes que significa la letra i que aparece en las formula de X2 y X3.
Hola Rubén,
La i que mencionas hace referencia a la unidad imaginaria. Ten en cuenta que dependiendo del valor del discriminante, la ecuación de tercer grado puede tener 3 raíces reales o puede que una sea real y dos sean complejas (no reales) expresadas con la ‘i’.
Saludos!
Como se resolverá la ecuación
(2x³ – 5x² +3x -8) + (5x² +10x -3) + (x³ +10x + 5)
Hola Diana,
Tienes que simplificar la ecuación sumando o restando los términos con mismo exponente y con el resultado que te quede, resolver la ecuación manualmente o con nuestra calculadora. En tu caso la ecuación resultante sería:
3x3 + 23x + -6